Home
About the Center
Letter from the Director
Mission & Goals
Consortium & Leadership
HiPACC Affiliates
Projects & Collaborations
Directions to the center
Annual Reports
Contact Us!
Conferences
Summer School
Annual Summer School
2014 Summer School
2013 Summer School
2012 Summer School
2011 Summer School
2010 Summer School
Media, Education, Outreach
News from UC-HiPACC
Comp. Astron. Press Room
Data Science Press Room
Edu/Outreach Press Room
HiPACC E/PO
Support
Apply for Funding
Support Us!
HiPACC Lectures
Gallery
Simulations
Bolshoi
AGORA
Lectures Home
Summer Schools
Conferences/Workshops
Quick Links
University of California
HPC (LANL)
LC (LLNL)
NAS (NASA Ames)
NERSC (LBNL)
SDSC (UCSD)
Lectures Series
>
ISSAC2011
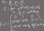
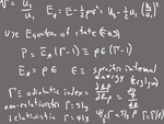
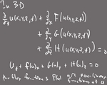
> Introduction to numerical hydrodynamics and special relativity I
Introduction to numerical hydrodynamics and special relativity I - 2011-07-19
Speaker:
MacFadyen
No description
Talk Slides — click
here
to view as a pdf